Упр.17.45 ГДЗ Мерзляк Поляков 8 класс (Алгебра)
Решение #1

Рассмотрим вариант решения задания из учебника Мерзляк, Поляков 8 класс, Вентана-Граф:
17.45. Упростите выражение:
1) v(a+2v(a-1)) ;
2) v(a+1+4v(a-3)) ;
3) v((x+4)/4+vx) ;
4) (v(x+2v(x-3)-2)-1)/v(x-3);
5) v(2x-2v(x^2-1)) ,если x?1;
6) v(x^2+2+2v(x^2+1)) -v(x^2+2-2v(x^2+1)) ;
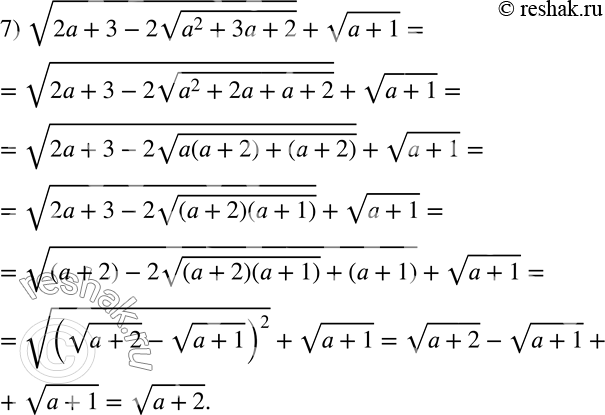
7) v(2a+3-2v(a^2+3a+2)) +v(a+1).
*размещая тексты в комментариях ниже, вы автоматически соглашаетесь с пользовательским соглашением