Упр.17.6 ГДЗ Мерзляк Поляков 8 класс (Алгебра)
Решение #1

Рассмотрим вариант решения задания из учебника Мерзляк, Поляков 8 класс, Вентана-Граф:
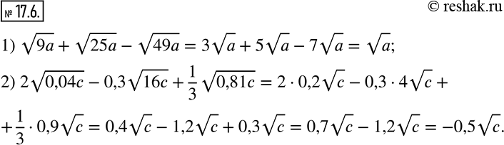
17.6. Упростите выражение:
1) v9a+v25a-v49a;
2) 2v0,04c-0,3v16c+1/3 v0,81c.
*размещая тексты в комментариях ниже, вы автоматически соглашаетесь с пользовательским соглашением