Упр.174 ГДЗ Колягин Ткачёва 11 класс (Алгебра)
Решение #1
Решение #2

Рассмотрим вариант решения задания из учебника Колягин, Ткачёва, Фёдорова 11 класс, Просвещение:
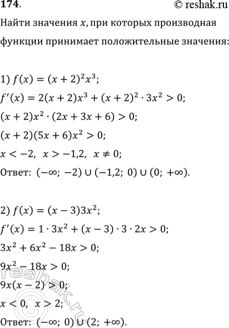
174. Выяснить, при каких значениях х производная функции f(x) принимает положительные значения, если:
1) f(x) = (х + 2)2x3;
2) f(x) = (х - 3)3х2.
*размещая тексты в комментариях ниже, вы автоматически соглашаетесь с пользовательским соглашением