Упр.176 ГДЗ Мерзляк Полонский 7 класс (Алгебра)
Решение #1
Решение #2

Рассмотрим вариант решения задания из учебника Мерзляк, Полонская, Якир 7 класс, Вентана-Граф:
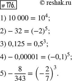
176. Представьте число: 1) 10 000; 2) -32; 3) 0,125; 4) -0,00001; 5) -8/343
в виде степени с показателем, большим 1, и наименьшим по модулю основанием.
*размещая тексты в комментариях ниже, вы автоматически соглашаетесь с пользовательским соглашением