Упр.18.1 ГДЗ Мерзляк Поляков 7 класс (Алгебра)
Решение #1

Рассмотрим вариант решения задания из учебника Мерзляк, Поляков 7 класс, Вентана-Граф:
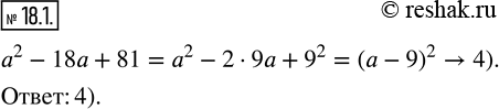
18.1. Какому из данных выражений тождественно равен многочлен a^2 -18a+81:
1) (a-3)^2; 2) a-9;
3) (a-9)(a+9); 4) (a-9)^2?
*размещая тексты в комментариях ниже, вы автоматически соглашаетесь с пользовательским соглашением