Упр.18.32 ГДЗ Мерзляк Поляков 7 класс (Алгебра)
Решение #1

Рассмотрим вариант решения задания из учебника Мерзляк, Поляков 7 класс, Вентана-Граф:
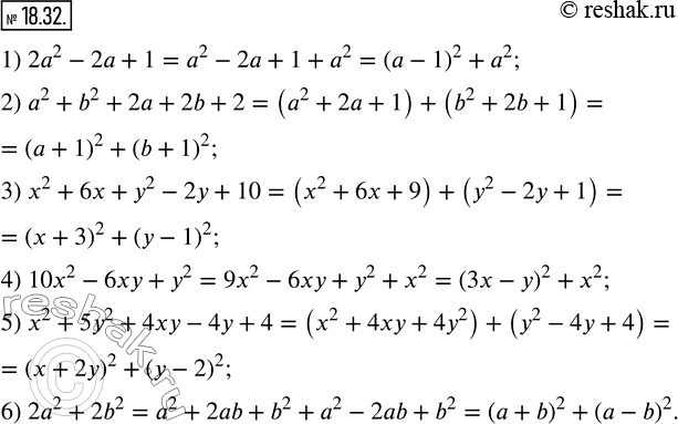
18.32. Представьте в виде суммы квадратов двух выражений многочлен:
1) 2a^2-2a+1; 4) 10x^2-6xy+y^2;
2) a^2+b^2+2a+2b+2; 5) x^2+5y^2+4xy-4y+4;
3) x^2+6x+y^2-2y+10; 6) 2a^2+2b^2.
*размещая тексты в комментариях ниже, вы автоматически соглашаетесь с пользовательским соглашением