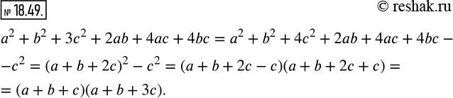
Упр.18.49 ГДЗ Мерзляк Поляков 7 класс (Алгебра)
Решение #1

Рассмотрим вариант решения задания из учебника Мерзляк, Поляков 7 класс, Вентана-Граф:
18.49. Разложите на множители выражение a^2 +b^2 +3c^2 +2ab+4ac+4bc.
*размещая тексты в комментариях ниже, вы автоматически соглашаетесь с пользовательским соглашением