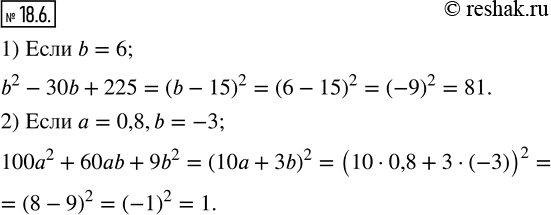
Упр.18.6 ГДЗ Мерзляк Поляков 7 класс (Алгебра)
Решение #1

Рассмотрим вариант решения задания из учебника Мерзляк, Поляков 7 класс, Вентана-Граф:
18.6. Найдите значение выражения:
1) b^2-30b+225,если b=6;
2) 100a^2+60ab+9b^2,если a=0,8,b=-3.
*размещая тексты в комментариях ниже, вы автоматически соглашаетесь с пользовательским соглашением