Упр.183 ГДЗ Никольский Потапов 7 класс (Алгебра)
Решение #1
Решение #2

Рассмотрим вариант решения задания из учебника Никольский, Потапов 7 класс, Просвещение:
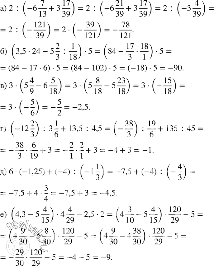
183. Найдите значение числового выражения:
а) 2:(-6*7/13 + 3*17/39);
б) (3,5*24-5*2/3 : 1/18)*5;
в) 3*(5*4/9-6*5/18);
г) (-12*2/3):3*1/6+13,5:4,5;
д) 6*(-1,25)+(-4):(-1*1/3);
е) (4,3-5*4/15)*4*4/29-2,5*2.
*размещая тексты в комментариях ниже, вы автоматически соглашаетесь с пользовательским соглашением