Упр.186 ГДЗ Зубарева Мордкович 6 класс ФГОС (Математика)
Решение #1

Рассмотрим вариант решения задания из учебника Зубарева, Мордкович 6 класс, Мнемозина:
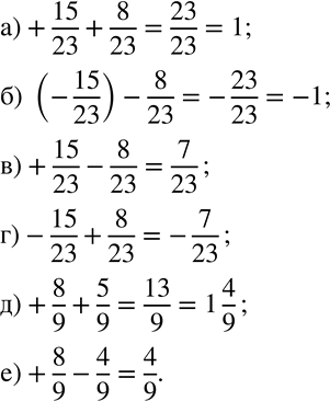
186. Найдите значение выражения:
а)+15/23+8/23;
б) (-15/23)-8/23;
в)+15/23-8/23;
г)-15/23+8/23;
д)+8/9+5/9;
е)+8/9-4/9.
*размещая тексты в комментариях ниже, вы автоматически соглашаетесь с пользовательским соглашением