Упр.187 ГДЗ Колягин Ткачёва 7 класс (Алгебра)
Решение #1

Рассмотрим вариант решения задания из учебника Колягин, Ткачёва, Фёдорова 7 класс, Просвещение:
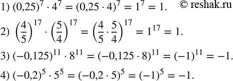
187. Вычислить:
1) (0,25)^7•4^7;
2) (4/5)^17•(5/4)^17;
3) (-0,125)^11•8^11;
4) (-0,2)^5•5^5.
*размещая тексты в комментариях ниже, вы автоматически соглашаетесь с пользовательским соглашением