Упр.187 ГДЗ Никольский Потапов 8 класс (Алгебра)
Решение #1

Рассмотрим вариант решения задания из учебника Никольский, Потапов 8 класс, Просвещение:
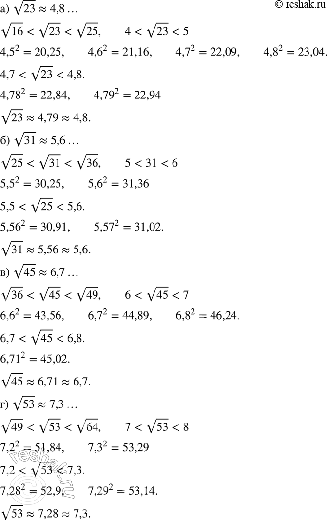
187. Вычислите с точностью до 0,1:
а) корень 23;
б) корень 31;
в) корень 45;
г) корень 53.
*размещая тексты в комментариях ниже, вы автоматически соглашаетесь с пользовательским соглашением