Упр.19 ГДЗ Мерзляк Полонский 7 класс (Алгебра)
Решение #1
Решение #2

Рассмотрим вариант решения задания из учебника Мерзляк, Полонская, Якир 7 класс, Вентана-Граф:
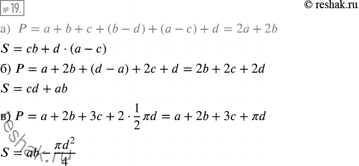
19. Составьте выражения для вычисления длины синей линии и площади фигуры, которую она ограничивает (рис. 1).
*размещая тексты в комментариях ниже, вы автоматически соглашаетесь с пользовательским соглашением