Упр.19.8 ГДЗ Мерзляк Поляков 7 класс (Алгебра)
Решение #1

Рассмотрим вариант решения задания из учебника Мерзляк, Поляков 7 класс, Вентана-Граф:
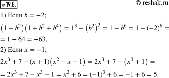
19.8. Найдите значение выражения:
1) (1-b^2 )(1+b^2+b^4 ),если b=-2;
2) 2x^3+7-(x+1)(x^2-x+1),если x=-1.
*размещая тексты в комментариях ниже, вы автоматически соглашаетесь с пользовательским соглашением