Упр.2.402 ГДЗ Виленкин Жохов 6 класс Часть 1, Просвещение (Математика)

Решение #1

Изображение Упр.2.402 ГДЗ Виленкин Жохов 6 класс Часть 1, Просвещение

Рассмотрим вариант решения задания из учебника Виленкин, Жохов, Чесноков 6 класс, Просвещение:
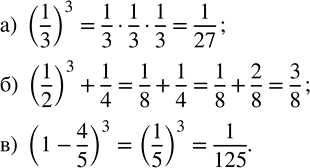
2.402. Выполните действия:
а) (1/3)^3; б) (1/2)^3 + 1/4; в) (1 - 4/5)^3.
*Цитирирование задания со ссылкой на учебник производится исключительно в учебных целях для лучшего понимания разбора решения задания.
*размещая тексты в комментариях ниже, вы автоматически соглашаетесь с пользовательским соглашением