Упр.20.8 ГДЗ Мерзляк Поляков 9 класс (Алгебра)
Решение #1

Рассмотрим вариант решения задания из учебника Мерзляк, Поляков 9 класс, Вентана-Граф:
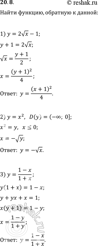
20.8. Найдите функцию, обратную к данной:
1) y=2vx-1; 2) y=x^2, D(y)=(-?; 0]; 3) y=(1-x)/(1+x).
*размещая тексты в комментариях ниже, вы автоматически соглашаетесь с пользовательским соглашением