Упр.209 ГДЗ Мерзляк 9 класс (Алгебра)
Решение #1
Решение #2

Рассмотрим вариант решения задания из учебника Мерзляк, Полонская, Якир 9 класс, Вентана-Граф:
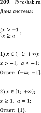
209. При каких значениях а множеством решений системы неравенств
система
х > -1,
х >= а
является промежуток:
1) (-1; -бесконечность);
2) [1; +бесконечность)?
*размещая тексты в комментариях ниже, вы автоматически соглашаетесь с пользовательским соглашением