Упр.21 ГДЗ Дорофеев Суворова 7 класс (Алгебра)
Решение #1

Рассмотрим вариант решения задания из учебника Дорофеев, Суворова, Бунимович 10-11 класс, Просвещение:
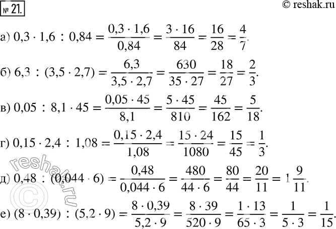
21 Запишите выражение, используя в качестве знака деления дробную черту, и найдите его значение:
а) 0,3 * 1,6 : 0,84;
б) 6,3 : (3,5 * 2,7);
в) 0,05 : 8,1 * 45;
г) 0,15 * 2,4 : 1,08;
д) 0,48 : (0,044 * 6);
е) (8 * 0,39) : (5,2 * 9).
*размещая тексты в комментариях ниже, вы автоматически соглашаетесь с пользовательским соглашением