Упр.21.1 ГДЗ Мерзляк Поляков 9 класс (Алгебра)
Решение #1

Рассмотрим вариант решения задания из учебника Мерзляк, Поляков 9 класс, Вентана-Граф:
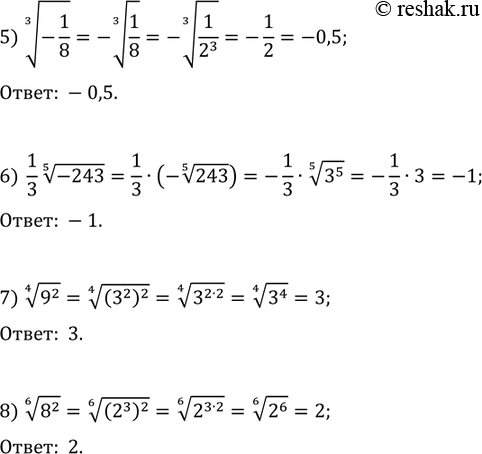
21.1. Найдите значение выражения:
1) 216^(1/3); 3) (-0,00001)^(1/5); 5) (-1/8)^(1/3); 7) (9^2)^(1/4);
2) (0,0016)^(1/4); 4) (3 13/81)^(1/4); 6) (1/3)(-243)^(1/5); 8) (8^2)^(1/6).
*размещая тексты в комментариях ниже, вы автоматически соглашаетесь с пользовательским соглашением