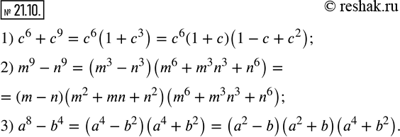
Упр.21.10 ГДЗ Мерзляк Поляков 7 класс (Алгебра)
Решение #1

Рассмотрим вариант решения задания из учебника Мерзляк, Поляков 7 класс, Вентана-Граф:
21.10. Разложите на множители:
1) c^6+c^9; 2) m^9-n^9; 3) a^8-b^4.
*размещая тексты в комментариях ниже, вы автоматически соглашаетесь с пользовательским соглашением