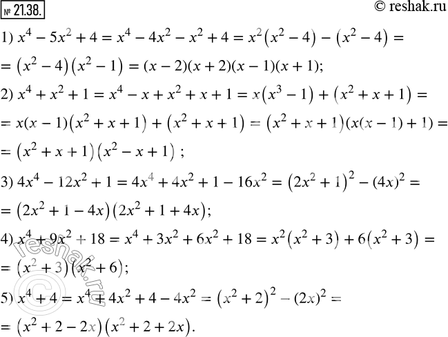
Упр.21.38 ГДЗ Мерзляк Поляков 7 класс (Алгебра)
Решение #1

Рассмотрим вариант решения задания из учебника Мерзляк, Поляков 7 класс, Вентана-Граф:
21.38. Разложите на множители:
1) x^4-5x^2+4; 2) x^4+x^2+1; 3) 4x^4-12x^2+1;
4) x^4+9x^2+18; 5) x^4+4.
*размещая тексты в комментариях ниже, вы автоматически соглашаетесь с пользовательским соглашением