Упр.21.5 ГДЗ Мерзляк Поляков 7 класс (Алгебра)
Решение #1

Рассмотрим вариант решения задания из учебника Мерзляк, Поляков 7 класс, Вентана-Граф:
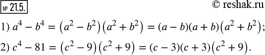
21.5. Представьте в виде произведения многочлен:
1) a^4-b^4; 2) c^4-81.
*размещая тексты в комментариях ниже, вы автоматически соглашаетесь с пользовательским соглашением