Упр.21.8 ГДЗ Мерзляк Поляков 7 класс (Алгебра)
Решение #1

Рассмотрим вариант решения задания из учебника Мерзляк, Поляков 7 класс, Вентана-Граф:
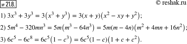
21.8. Представьте в виде произведения многочлен:
1) 3x^3+3y^3; 2) 5m^4-320mn^3; 3) 6c^5-6c^8.
*размещая тексты в комментариях ниже, вы автоматически соглашаетесь с пользовательским соглашением