Упр.210 ГДЗ Мерзляк 8 класс (Алгебра)
Решение #1
Решение #2
Решение #3

Рассмотрим вариант решения задания из учебника Мерзляк, Полонская, Якир 8 класс, Вентана-Граф:
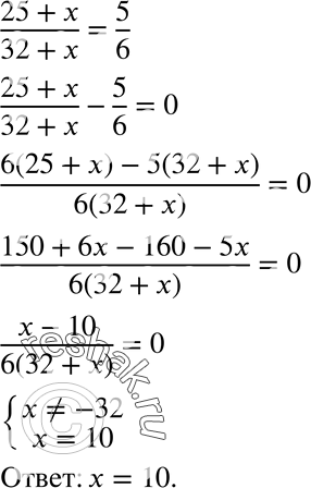
210. Какое число нужно прибавить к числителю и знаменателю дроби 25/32, чтобы получить дробь, равную 5/6?
*размещая тексты в комментариях ниже, вы автоматически соглашаетесь с пользовательским соглашением