Упр.214 ГДЗ Мерзляк Полонский 7 класс (Алгебра)
Решение #1
Решение #2

Рассмотрим вариант решения задания из учебника Мерзляк, Полонская, Якир 7 класс, Вентана-Граф:
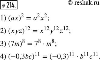
214. Представьте степень в виде произведения степеней:
1) (ах)2;
2) (xyz)12;
3) (7m)8;
4) (-0,3bс)11.
*размещая тексты в комментариях ниже, вы автоматически соглашаетесь с пользовательским соглашением