Упр.217 ГДЗ Мерзляк Полонский 7 класс (Алгебра)
Решение #1
Решение #2

Рассмотрим вариант решения задания из учебника Мерзляк, Полонская, Якир 7 класс, Вентана-Граф:
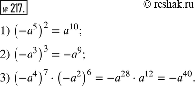
217. Упростите выражение:
1) (-a5)2;
2) (-a3)3;
3) (-a4)7 * (-a2)6.
*размещая тексты в комментариях ниже, вы автоматически соглашаетесь с пользовательским соглашением