Упр.22.24 ГДЗ Мерзляк Поляков 8 класс (Алгебра)
Решение #1

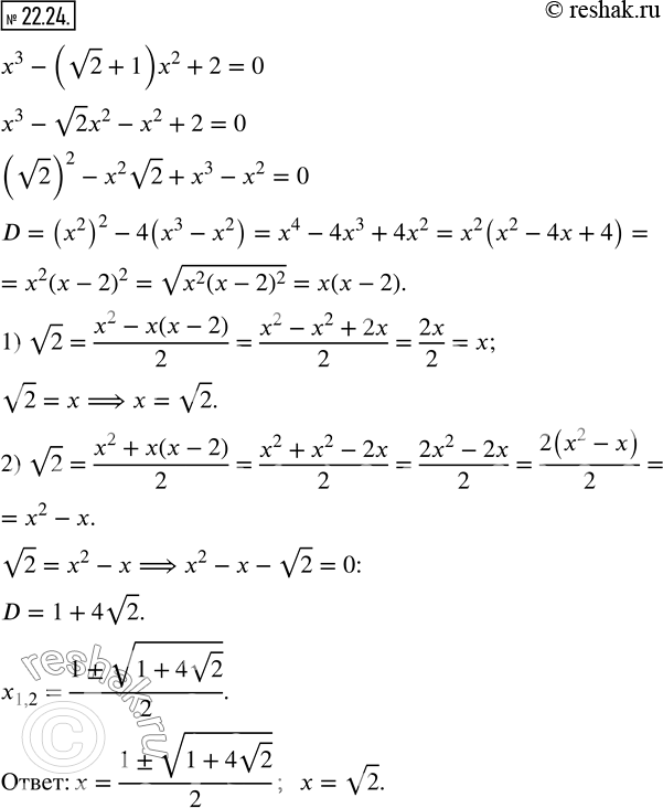
Рассмотрим вариант решения задания из учебника Мерзляк, Поляков 8 класс, Вентана-Граф:
22.24. Решите уравнение x^3-(v2+1) x^2+2=0.
*размещая тексты в комментариях ниже, вы автоматически соглашаетесь с пользовательским соглашением