Упр.229 ГДЗ Мерзляк 8 класс (Алгебра)
Решение #1
Решение #2
Решение #3

Рассмотрим вариант решения задания из учебника Мерзляк, Полонская, Якир 8 класс, Вентана-Граф:
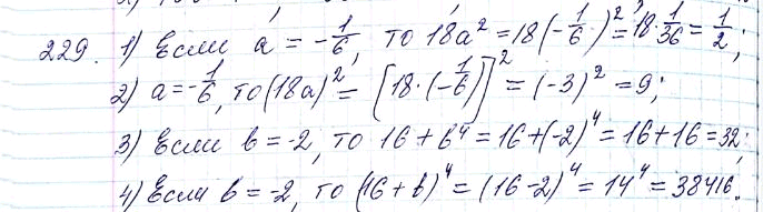
229. Найдите значение выражения:
1) 18а2, если а = -1/6;
2) (18а)2, если а = -1/6;
3) 6 + b4, если b = -2;
4) (6 + b)4, если b = -2.
*размещая тексты в комментариях ниже, вы автоматически соглашаетесь с пользовательским соглашением