Упр.23.1 ГДЗ Мерзляк Поляков 8 класс (Алгебра)
Решение #1

Рассмотрим вариант решения задания из учебника Мерзляк, Поляков 8 класс, Вентана-Граф:
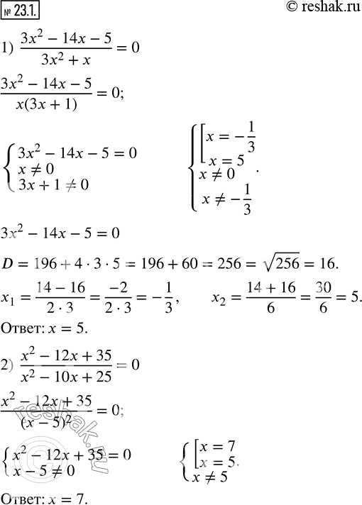
23.1. Решите уравнение:
1) (3x^2-14x-5)/(3x^2+x)=0; 2) (x^2-12x+35)/(x^2-10x+25)=0.
*размещая тексты в комментариях ниже, вы автоматически соглашаетесь с пользовательским соглашением