Упр.231 ГДЗ Колягин Ткачёва 11 класс (Алгебра)
Решение #1
Решение #2

Рассмотрим вариант решения задания из учебника Колягин, Ткачёва, Фёдорова 11 класс, Просвещение:
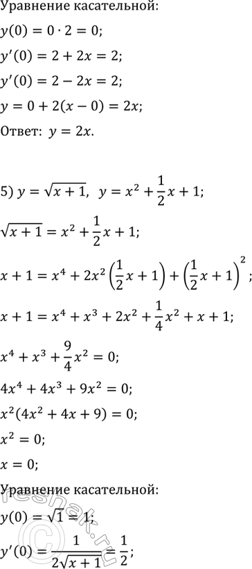
231. Показать, что графики двух данных функций имеют одну общую точку и в этой точке — общую касательную; написать уравнение этой касательной:
1) у = х4, у = х6 + 2х2;
2) у = х4, у = х3- 3х2;
3) у = (х + 2)2, у — 2 — х2;
4) у = х(2 + х), у = х(2 - х);
Ь) у = корень x + 1, у = х2+ 1/3*x+ 1;
6) у = корень x + 1, у = 2- корень 1-x.
*размещая тексты в комментариях ниже, вы автоматически соглашаетесь с пользовательским соглашением