Упр.234 ГДЗ Мерзляк 8 класс (Алгебра)
Решение #1
Решение #2
Решение #3

Рассмотрим вариант решения задания из учебника Мерзляк, Полонская, Якир 8 класс, Вентана-Граф:
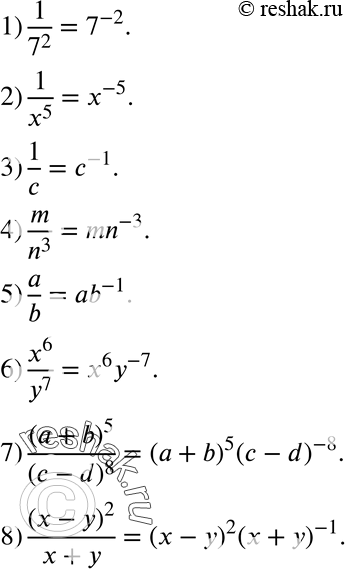
234.Представьте дробь в виде степени с целым отрицательным показателем или в виде произведения степеней:
1) 1/7^2;
2) 1/x5;
3) 1/c;
4) m/n3;
5) a/b;
6) x6/y7;
7) (a+b)5/(c-d)8;
8) (x-y)2/(x+y).
*размещая тексты в комментариях ниже, вы автоматически соглашаетесь с пользовательским соглашением