Упр.237 ГДЗ Колягин Ткачёва 11 класс (Алгебра)
Решение #1
Решение #2

Рассмотрим вариант решения задания из учебника Колягин, Ткачёва, Фёдорова 11 класс, Просвещение:
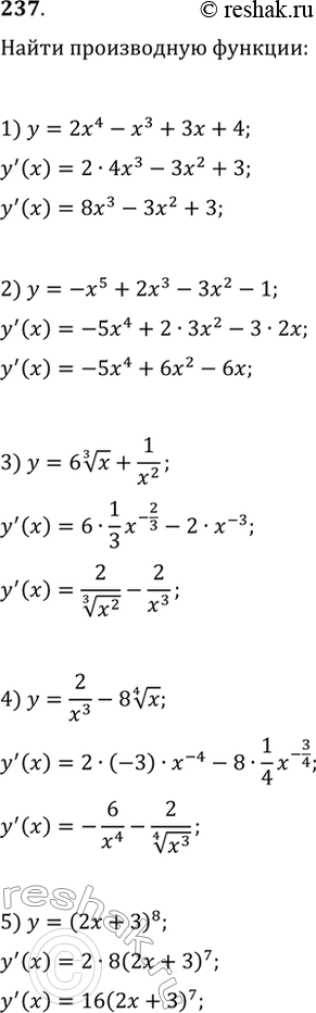
Найти производную функции (237—241).
237 1) 2x4 - x3 + 3x + 4;
2) -x5+2x3-3x2-1;;
3) 6 корень 3 степени x + 1/x2;
4) 2/x3 - 8 * корень 4 степени x;
5) (2x+3)8;
6) (4-3x)7;
7) корень 3 степени 3x-2;
8) 1/ корень 1-4x;
9) sin0,5x;
10) cos(-3x).
*размещая тексты в комментариях ниже, вы автоматически соглашаетесь с пользовательским соглашением