Упр.238 ГДЗ Колягин Ткачёва 11 класс (Алгебра)
Решение #1
Решение #2

Рассмотрим вариант решения задания из учебника Колягин, Ткачёва, Фёдорова 11 класс, Просвещение:
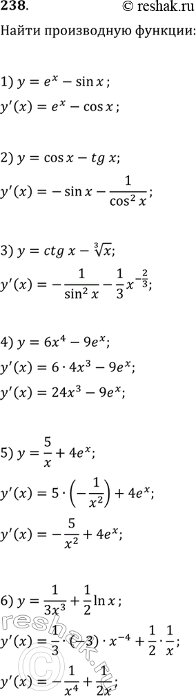
238. 1) ex - sinx;
2) cosx - tgx;
3) ctgx - корень 3 степени x;
4) 6x4 - 9ex;
5) 5/x + 4ex;
6) 1/3x3 + 1/2*lnx.
*размещая тексты в комментариях ниже, вы автоматически соглашаетесь с пользовательским соглашением