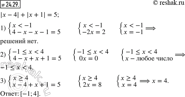
Упр.24.29 ГДЗ Мерзляк Поляков 8 класс (Алгебра)
Решение #1

Рассмотрим вариант решения задания из учебника Мерзляк, Поляков 8 класс, Вентана-Граф:
24.29. Решите уравнение |x-4|+|x+1|=5.
*размещая тексты в комментариях ниже, вы автоматически соглашаетесь с пользовательским соглашением