Упр.242 ГДЗ Мерзляк 9 класс (Алгебра)
Решение #1
Решение #2

Рассмотрим вариант решения задания из учебника Мерзляк, Полонская, Якир 9 класс, Вентана-Граф:
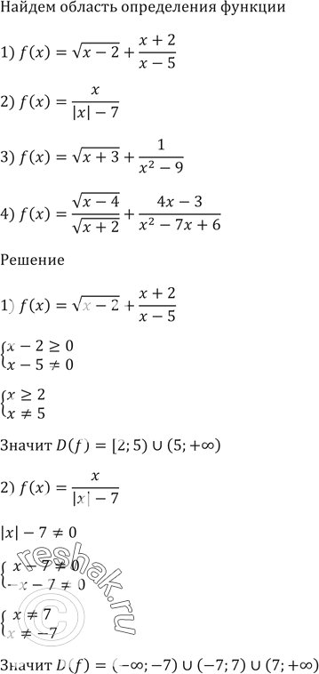
242. Найдите область определения функции:
1) f(x) = корень(x - 2) + (x + 2)/(x - 5);
*размещая тексты в комментариях ниже, вы автоматически соглашаетесь с пользовательским соглашением