Упр.244 ГДЗ Никольский Потапов 8 класс (Алгебра)
Решение #1

Рассмотрим вариант решения задания из учебника Никольский, Потапов 8 класс, Просвещение:
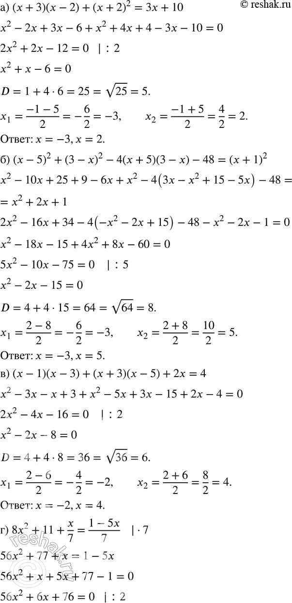
244. а) (х + 3)(х - 2) + (х + 2)2 = 3х + 10;
б) (х - 5)2 + (3 - х)2 - 4(х + 5)(3 - х) - 48 = (х + 1)2;
в) (х - 1)(х - 3) + (х + 3)(х - 5) + 2х = 4;
г) 8х2 + 11 + x/7 = (1-5x)/7;
д) 1,2х2 - 0,8х - 3,1 = 0.
*размещая тексты в комментариях ниже, вы автоматически соглашаетесь с пользовательским соглашением