Упр.247 ГДЗ Колягин Ткачёва 7 класс (Алгебра)
Решение #1

Рассмотрим вариант решения задания из учебника Колягин, Ткачёва, Фёдорова 7 класс, Просвещение:
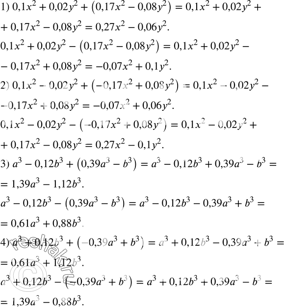
247. Найти сумму и разность многочленов:
1) 0,1x^2+0,02y^2 и 0,17x^2-0,08y^2;
2) 0,1x^2-0,02y^2 и -0,17x^2+0,08y^2;
3) a^3-0,12b^3 и 0,39a^3-b^3;
4) a^3+0,12b^3 и -0,39a^3+b^3.
*размещая тексты в комментариях ниже, вы автоматически соглашаетесь с пользовательским соглашением