Упр.25.4 ГДЗ Мерзляк Поляков 7 класс (Алгебра)
Решение #1

Рассмотрим вариант решения задания из учебника Мерзляк, Поляков 7 класс, Вентана-Граф:
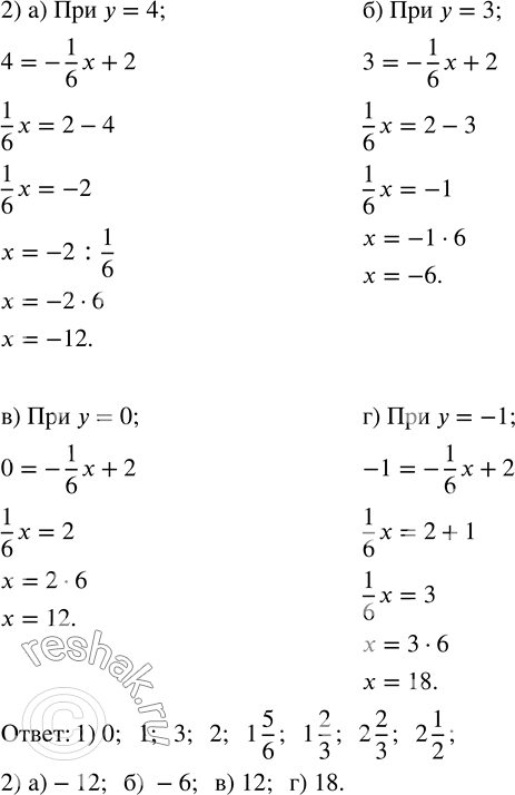
25.4. Функция задана формулой y=-1/6 x+2. Найдите:
1) значение функции для значений аргумента, равных 12; 6; -6; 0; 1; 2; -4; -3;
2) значение аргумента, при котором значение функции равно:
а) 4; б) 3; в) 0; г) -1.
*размещая тексты в комментариях ниже, вы автоматически соглашаетесь с пользовательским соглашением