Упр.259 ГДЗ Никольский Потапов 7 класс (Алгебра)
Решение #1

Рассмотрим вариант решения задания из учебника Никольский, Потапов 7 класс, Просвещение:
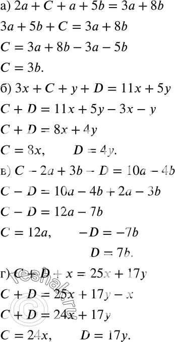
259. Вместо букв С п D подберите одночлены так, чтобы выполнялось равенство:
а) 2а + С + а + 5b = За + 8b;
б) 3x + C + y + D= 11х + 5у;
в) С - 2а + 3b - D = 10а - 4b;
г) С + D + х = 25х + 17у.
*размещая тексты в комментариях ниже, вы автоматически соглашаетесь с пользовательским соглашением