Упр.267 ГДЗ Мерзляк Полонский 7 класс (Алгебра)
Решение #1
Решение #2

Рассмотрим вариант решения задания из учебника Мерзляк, Полонская, Якир 7 класс, Вентана-Граф:
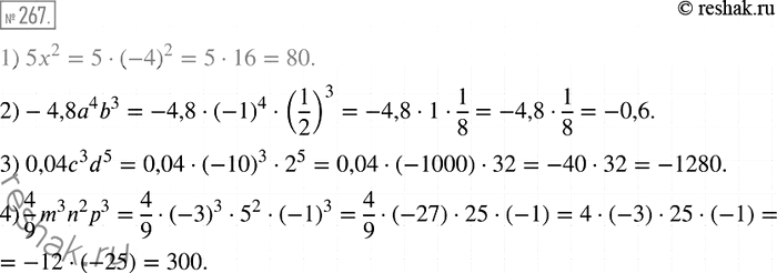
267. Найдите значение одночлена:
1) 5х2, если х = -4;
2) - 4,8a4b3, если а = — 1, b = 1/2;
3) 0,04с3d5, если с = -10, d = 2;
4) 4/9*m3n2р3, если m = -3, n = 5, р = -1.
*размещая тексты в комментариях ниже, вы автоматически соглашаетесь с пользовательским соглашением