Упр.272 ГДЗ Мерзляк 8 класс (Алгебра)
Решение #1
Решение #2
Решение #3

Рассмотрим вариант решения задания из учебника Мерзляк, Полонская, Якир 8 класс, Вентана-Граф:
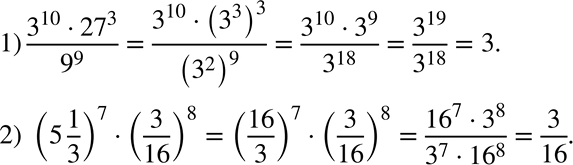
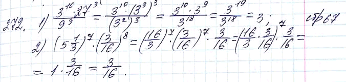
272. Найдите значение выражения:
1) (3^10 * 27^3)/9^9;
2) (5 1/3)7 * (3/16)8.
*размещая тексты в комментариях ниже, вы автоматически соглашаетесь с пользовательским соглашением