Упр.272 ГДЗ Мерзляк 9 класс (Алгебра)
Решение #1
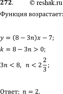
Решение #2

Рассмотрим вариант решения задания из учебника Мерзляк, Полонская, Якир 9 класс, Вентана-Граф:
272. При каком наибольшем целом значении n функция у = (8 - 3n)х - 7 является возрастающей?
*размещая тексты в комментариях ниже, вы автоматически соглашаетесь с пользовательским соглашением