Упр.272 ГДЗ Никольский Потапов 7 класс (Алгебра)
Решение #1

Рассмотрим вариант решения задания из учебника Никольский, Потапов 7 класс, Просвещение:
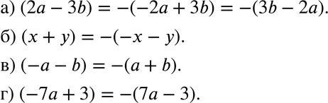
272. При некоторых преобразованиях бывает необходимо изменить знак, стоящий перед скобками, на противоположный, например: (а - b) = - (-а + b) = -(b - а).
Используя этот приём, измените знак, стоящий перед двучленом:
а) (2а - 3b); б) (х + у); в) (-а - b); г) (-7а + 3).
*размещая тексты в комментариях ниже, вы автоматически соглашаетесь с пользовательским соглашением