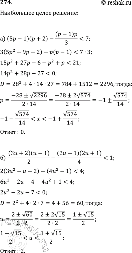
Упр.274 ГДЗ Макарычев Миндюк 9 класс (Углубленный) (Алгебра)
Решение #1

Рассмотрим вариант решения задания из учебника Макарычев, Миндюк, Нешков 9 класс, Просвещение:
274. Найдите наибольшее целое число, удовлетворяющее неравенству:
а) (5p-1)(p+2)-(p-1)p/3<7; б) (3u+2)(u-1)/2-(2u-1)(2u+1)/4<1.
*размещая тексты в комментариях ниже, вы автоматически соглашаетесь с пользовательским соглашением