Упр.276 ГДЗ Мерзляк Полонский 7 класс (Алгебра)
Решение #1
Решение #2

Рассмотрим вариант решения задания из учебника Мерзляк, Полонская, Якир 7 класс, Вентана-Граф:
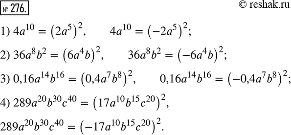
276 Представьте в виде квадрата одночлена стандартного вида выражение:
1) 4a10;
2) 36а8b2;
3) 0,16a14b16;
4) 289a20b30с40.
*размещая тексты в комментариях ниже, вы автоматически соглашаетесь с пользовательским соглашением