Упр.277 ГДЗ Мерзляк 8 класс (Алгебра)
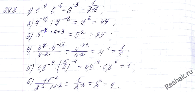
Решение #1
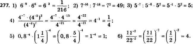
Решение #2
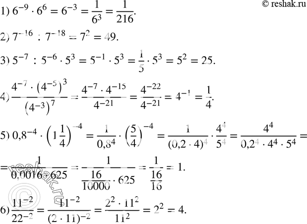
Решение #3

Рассмотрим вариант решения задания из учебника Мерзляк, Полонская, Якир 8 класс, Вентана-Граф:
277. Найдите значение выражения:
1) 6^-9 * 6^6;
2) 7^-16 : 7^-18;
3) 5^-7 : 5^-6 * 5^3;
4) (4^-7 * (4^-5)3)/(4^-3)^7;
5) 0,8^-1 * (1 1/4)^-4;
6) 11^-2 / 22^-2.
*размещая тексты в комментариях ниже, вы автоматически соглашаетесь с пользовательским соглашением