Упр.28.224 ГДЗ Мерзляк 11 класс Углубленный уровень (Алгебра)
Решение #1

Рассмотрим вариант решения задания из учебника Мерзляк, Номировский, Поляков 11 класс, Вентана-Граф, Просвещение:
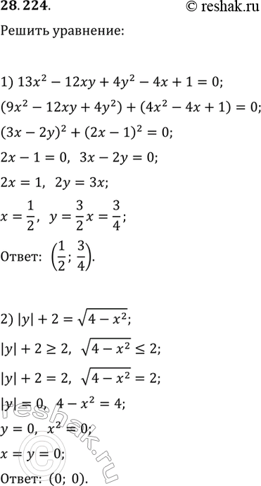
28.224. Решите уравнение:
1) 13x^2-12xy+4y^2-4x+1=0; 2) |y|+2=v(4-x^2).
*размещая тексты в комментариях ниже, вы автоматически соглашаетесь с пользовательским соглашением