Упр.28.41 ГДЗ Мерзляк Поляков 7 класс (Алгебра)
Решение #1

Рассмотрим вариант решения задания из учебника Мерзляк, Поляков 7 класс, Вентана-Граф:
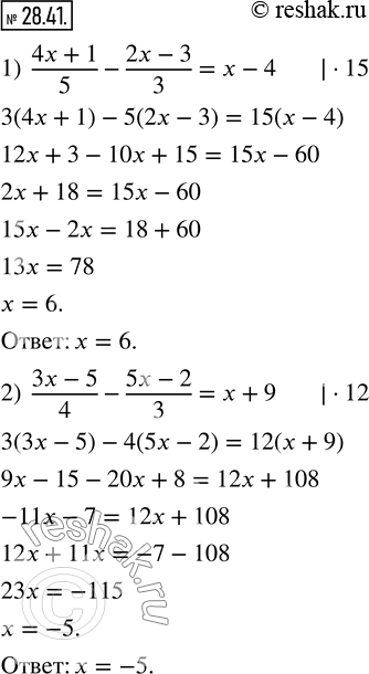
28.41. Найдите корень уравнения:
1) (4x+1)/5-(2x-3)/3=x-4; 2) (3x-5)/4-(5x-2)/3=x+9.
*размещая тексты в комментариях ниже, вы автоматически соглашаетесь с пользовательским соглашением