Упр.28.5 ГДЗ Мерзляк Поляков 8 класс (Алгебра)

Решение #1

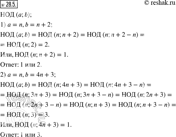
Изображение 28.5. Чему может быть равным НОД (a;b), если:1) a=n, b=n+2;      2) a=n,...
Загрузка...

Рассмотрим вариант решения задания из учебника Мерзляк, Поляков 8 класс, Вентана-Граф:
28.5. Чему может быть равным НОД (a;b), если:
1) a=n, b=n+2; 2) a=n, b=4n+3?
*Цитирирование задания со ссылкой на учебник производится исключительно в учебных целях для лучшего понимания разбора решения задания.
*размещая тексты в комментариях ниже, вы автоматически соглашаетесь с пользовательским соглашением