Упр.280 ГДЗ Дорофеев Суворова 7 класс (Алгебра)
Решение #1

Рассмотрим вариант решения задания из учебника Дорофеев, Суворова, Бунимович 10-11 класс, Просвещение:
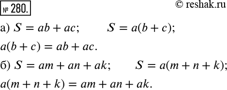
280 Составьте два выражения для вычисления площади фигуры (рис. 3.8, а, б) и покажите, как одно из этих выражений можно преобразовать в другое.
*размещая тексты в комментариях ниже, вы автоматически соглашаетесь с пользовательским соглашением